成都贝壳研究院发布《新成都人安家居住报告》,新迁入人群置业占比超8成
导语:来了,就是成都人——新成都人的安家居住报告
12月18日,贝壳研究院成都分院发布《新成都人安家居住报告》(以下简称报告),报告首次盘点了“新成都人”从哪儿来,到哪儿安家。
据贝壳找房2020年的成交数据显示,选择在成都置业的人中83%为新成都人,并且置业占比还在加速提升。其中,6成来自于川内,2成来自于川外。具体城市来看,南充(11.9%)、眉山(11.3%)、达州(9.4%)位列省内非蓉置业占比前三。从省外各区域的排名情况来看,排名前三的省市分别为重庆市(15.7%)、甘肃省(8.9%)、河南省(7.8%),其中重庆及甘肃近两年均在连续提升。
从置业人群TOP20板块来看,前四板块置业人数明显比其他板块高,前四板块为“光大”(光华大道沿线、大面)及“南航”(南湖、航空港),已非传统认知中的“大中华”(大源、中和、华阳)。
报告中,“新成都人”定义为年龄22-40岁原籍非蓉的迁居人群。贝壳研究院基于贝壳平台近2年的“新成都人”成交数据,娓娓道来 “新成都人”从蓉漂到扎根成都之路。
新成都人购房观,了解一下
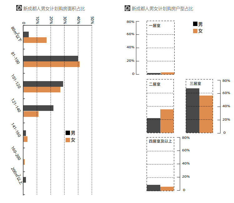
新成都人画像——新成都人购房观
新成都人女性购房意愿度更强。根据对新成都人购房需求进行调查发现,女性有购房计划的占77%,男性有购房计划的为69%,相比男性,新成都人女性购房意愿度更强。

男性更爱宽敞大三居,女性更偏爱紧凑户型。男女期望购房面积方面,81-100㎡是多数新成都人考虑的面积范围,占比均超过4成。相较而言,80㎡以下产品女性占比为17%,男性占比为4%,121-140㎡产品女性占比为11%,男性占比为22%。可以看出,80㎡以下产品女性接受度更高,121-140㎡男性接受度更高。户型方面,选择三居室人群占比最高,男性占67%,女性占56%,选择二居室的男性占22%,女性占35%。

30元/㎡·月新成都人租房舒适线,高新、成华是新成都人租房热衷地
播种,新成都人的蓉漂租房之旅——租房篇
新成都人租房舒适线:租金单价30元/㎡·月,套均可承受租金在2500元以下。根据贝壳研究院发布的《新一线城市居住生活报告》,成都房租收入比在15个新一线城市中排名第9,“蓉漂”负担相对较小,各年龄段新成都人的租房均价基本趋近于30元/㎡·月。据调查显示,92.1%的新成都人可承受的租金水平在2500元以下。

新成都人租房热衷地:职住高新、活力成华。不同年龄段对行政区有所偏好,26-40岁热衷位于城南的高新区,职住距离是他们租房主要考虑的因素,成华则如租住新星般冉冉升起,成为了22-25岁的95后的最爱,除了租金价格在主城区中平易近人外,还有最主要的铁路交通枢纽成都东客站,以及电子科大和成都理工大学等知名院校,建设路和东郊记忆已成为了年轻人扎堆的商业圈。
租房人群3年内购房成为大概率,他们更愿意在租房的区域就近购房
生根,新成都人寻找归属之路——租转买篇
租房的新成都人中,3年内购房成为大概率。 新成都人租房到购房的周期需要多久呢?根据贝壳平台调研数据,有购房意愿的新成都人中,大约52%希望在2年内购房,80%希望在3年内购房,其中,30岁以上都想在3年内购房,子女教育、家庭自住需求、工资收入和财富积累等因素,使得他们会更快考虑买房。
新成都人更愿意在租房的区域就近购房。出于工作地点和生活习惯方面的考虑,新成都人更愿意在租房的区域就近购房,从主城和近郊区域观察,新成都人购房时,在原区域购房的占比非常高,同一区域的房屋具有绝对的竞争力。黏性最强的分别为温江区、双流区、新都区,同区域购房占比约65%。

省内非蓉占比超六成且持续提高,成渝“双城记”推动省外来蓉置业需求
扎根,新成都人融“成”之行——置业篇:从哪儿来
新成都人占成都置业人群的83%,且置业占比加速提升。据贝壳找房2020年的成交数据显示,选择在成都置业的人中83%为非成都户籍,也就是我们前面定义的新成都人。并且对近3年数据进行观察发现,新成都人置业占比近两年均有上涨,且呈加速提升态势。

省内非蓉占比超六成且持续提高,成都对省内人口虹吸效应显著。我们将在成都置业的人群来源划分为成都、省内非蓉及省外。其中省内置业占比前三的城市:南充市(11.9%)、眉山市(11.3%)、达州市(9.4%)。

省外占比保持韧性,成渝‘双城记’推动来蓉置业需求。从省外置业人群来看,19年省外置业占比降至20%,20年保持这一比例不变,主要还是由于19年省内人口流入加速引起,而20年能在同样情况下保持,也体现省外置业人群的韧性。同时我们从各省市的排名情况来看,排名前三的省市分别为重庆市(15.7%)、甘肃省(8.9%)、河南省(7.8%),其中重庆及甘肃近两年均在连续提升。

“光大”及“南航”已成新成都人主要置业板块
扎根,新成都人融“成”之行——置业篇:到哪儿住
省外比较关注教育及新经济,省内则多聚集在文旅及工业发达区。从行政区来看,省外人群置业占比最高的两个行政区为青羊区(10.4%)及高新区(10.4%)。省内非蓉人群置业占比最高的两个行政区为成华区(9.7%)及郫都区(9.5%)。

“光大”及“南航”已成新成都人主要置业板块。从置业人群TOP20板块来看,前四板块置业人数明显比其他板块高,前四板块为“光大”(光华大道沿线、大面)及“南航”(南湖、航空港),已非传统认知中的“大中华”(大源、中和、华阳)。 (cis)



















