
关于我国居民收入基尼系数测算的几个问题
国家统计局住户调查办公室主任 王萍萍
一、基尼系数的含义、方法及相关问题
基尼系数是衡量居民间收入差距的综合指标。该指标由意大利经济学家基尼在20世纪初提出。社会中每个人的收入都一样、收入分配绝对平均时,基尼系数是0;全社会的收入都集中于1个人、收入分配绝对不平均时,基尼系数是1。现实生活中,两种情况都不可能发生。每个人的收入有多有少,差距大时,基尼系数就高,差距小时,基尼系数就低。
基尼系数是根据洛伦茨曲线,即收入分布曲线计算的。在下图中,横轴是累计人口百分比,纵轴是累计收入百分比。对角线上的绿色斜线是绝对平均的收入分布线,黑色的纵线是绝对不平均的收入分布线,橙色的是通常见到的实际收入分布曲线。绿线与橙线之间的面积A,相当于用于不平均分配的那部分收入。基尼系数等于A/(A+B),经济学含义是用于不平均分配的那部分收入占全部收入的比例。

国际上并没有一个组织或教科书给出最适合的基尼系数标准,但有不少人认为基尼系数小于0.2时,居民收入过于平均,0.2-0.3之间时较为平均,0.3-0.4之间时比较合理,0.4-0.5时差距过大,大于0.5时差距悬殊。通常而言,与面积或人口较小的国家相比,地域辽阔、人口众多和自然环境差异较大国家的基尼系数会高一些。经济处于起步阶段或工业化前期的国家,基尼系数要大一些,而发达经济体特别是实施高福利政策国家的基尼系数要小一些。
基尼系数需要使用分户或分组的居民收入数据来计算。使用不同来源、不同口径的收入基础数据会得到不同的基尼系数。比如:收入指标是否规范、用总收入指标还是可支配收入指标、收入中是否包括政府的实物福利、是否扣除年度物价因素、是否扣除地区差价等等,都对基尼系数及变化趋势有影响。在对基尼系数进行国际比较或时序比较时,需要注意到基础数据的可比性。
基尼系数给出了反映居民之间贫富差异程度的数量界线,较全面客观地反映居民之间的贫富差距,能预报、预警居民之间出现贫富两极分化,但基尼系数这个差距指标也有局限性,在使用时需要注意:
一是基尼系数衡量的是收入相对差距。假如,每个家庭的收入都比基期年翻一番,虽然高收入户增收的绝对额要大得多,但因为所有家庭收入增加的比例是一样的,相对差距仍一样,计算得到的基尼系数也是一样的。
二是基尼系数反映的是收入总体差距。基尼系数的变化取决于所有居民的收入相对变化,其中某一群体相对于另一个群体的收入差距的变化有可能与基尼系数的变化趋势是不一样的。
三是基尼系数衡量了收入差距,却不能衡量在哪里存在分配不公。有些差距是公平合理的,比如,劳动者付出的劳动数量及质量不同,得到的收入有所不同是合理的。而有些差距是不公平的。需要进一步做深入的制度研究,找出差距原因并消除不公平分配现象。
二、测算基尼系数的基础数据
根据各国通行做法,国家统计局使用全国城乡住户收支抽样调查数据作为计算基尼系数的基础。
2012年12月前,全国城乡住户收支调查共有14万户调查样本。其中,农村住户调查样本7.4万户,按照分层多阶段随机抽样方法抽取,分布在全国31个省(自治区、直辖市)的896个县;城镇住户调查样本6.6万户,按照分层二相随机抽样方法抽取,分布在全国31个省(自治区、直辖市)的476个市、县。收支调查结果对全国和分省、分城乡具有代表性。
城乡居民收入调查过程可以分为抽样、记账、录入、审核、汇总等多道“工序”,其中还包括多个数据质量控制环节。调查户按照统一规则,随时逐笔记录该户发生的收支情况,包括工资收入、生产和出售农副产品收入、家庭经营的二三产业收入、转移收入、财产收入,以及各种购买活动、消费支出、生产支出、社保支出、自产自用产品和其他实物收入等等。年末,调查员还要对调查户的人口、就业、住房、社保、家庭经营的土地和固定资产等情况进行访问调查。
全国城乡住户调查主要由国家统计局直属调查队系统实施。国家直属调查队分布于每个地级以上城市以及约三分之一的县。在每个抽中调查村都聘请一名辅助调查员,定期访问、指导调查户记账,帮助文盲户记账。城镇调查户的日常访问工作则主要由市、县调查人员承担。所有记账和访问调查得到的原始数据由市县级国家调查队编码录入审核后直接上报,由国家统计局直接汇总出全国和分省的收支数据。国家统计局每个季度电话随机直接回访6000个左右的调查户,对基层调查工作开展情况和主要收支项目进行抽查。同时,还通过实地抽查回访等方法严格控制数据质量。
国家统计局以数据库形式保存了各年度详细的调查户样本信息、调查户记账资料、年末访问调查资料以及根据这些详细资料计算的分户居民收支数据。
从总体看,我国城乡住户调查数据来源明确,样本抽选规范,调查基础比较扎实。但是,受长期城乡二元结构的影响,2012年12月前城乡居民收入统计指标不一致、农民工归类不明确,无法简单加总得到全体居民收入。这是最近几年没有计算、发布全国基尼系数的主要原因。
为了解决上述问题,满足城乡统筹发展、调整居民收入分配格局对居民收支统计数据、特别是收入差距数据的新需要,国家统计局对城乡住户调查进行了一体化改革。至2012年底,制定了新的一体化住户调查制度,建立了统一的收入指标体系,抽选了统一的调查样本,组织了摸底调查,获得了调查户基本信息。从2012年12月1日起全国40万户调查户(其中国家样本16万户,地方样本24万户)已按新调查制度记账。同时,近年来,为了适应改革需要,对常规住户调查中需要调整的收支小项尽可能单列调查,在继续做好记账调查的同时,对外出农民工的收入进行了问卷访问调查。
三、测算基尼系数的方法与步骤
国家统计局根据一体化住户调查指标新口径和调查户基本信息、人口普查资料,参考个人所得税资料等背景信息,对城乡居民收入历史数据进行了回溯调整,在此基础上测算全国居民可支配收入基尼系数。主要方法与步骤如下:
第一步:按新的指标口径调整历史数据。
新指标是指2012年12月份以后实施的一体化住户调查制度中的可支配收入指标。该指标是国家统计局按照联合国统计委员会《国民经济核算2008》以及联合国欧洲经济委员会《住户收入统计堪培拉手册2011》中的居民收入口径制定的,具有国际可比性。新的可支配收入指标中既包括现金收入,也包括实物收入。按照来源可分为:工资性收入、经营净收入、财产净收入、转移净收入和自有住房折算净租金。
国家统计局按照新的可支配收入指标口径,利用已有的城乡居民收入分户调查资料,调整形成了2003年-2012年我国城乡居民同口径的可支配收入分户数据。具体就是将农村居民人均纯收入指标调整为人均可支配收入指标,主要是从纯收入指标中扣除了农村居民社保支出、利息支出、赠送城镇居民支出,增加了农民工在外花费的收入。同时,规范完善城镇居民人均可支配收入口径范围,主要是进一步扣除了交纳社保费用和所得税以外的全部转移支出(社保支出和所得税在原指标中已扣除)、以及以房贷利息为主的全部财产性支出,增加了自有住房折算净租金收入和实物折算收入。
第二步:校准城镇高收入户调查收入偏差。
为了解决调查样本中高收入户记账收入偏低的问题,国家统计局采用了多种国际上常用校准方法进行试算,比较了各种方法的利弊,最后选择了有确切数据来源、校准量最大的校准方法。
一是比较历年城镇住户调查的一相样本(即大样本摸底调查户,三年一次,访问调查)与二相样本(即记账调查户)的住房、职业、文化程度、访问调查的收入等方面的差距,对不同类型的记账调查户的比重进行校准,以提高高收入户的比重。
二是根据税务部门发布的年收入在12万元以上纳税人收入情况校准住户调查中高收入户样本比重和收入水平。
三是对一体化住户调查中国家抽中的16000个调查小区中所有200多万住户的摸底调查资料与现有城乡住户调查户基本信息进行对比,对城乡住户调查样本构成进行评估。
同时,国家统计局也对国内相关研究的校准方法进行了研究。经比较,最终采用以个人所得税资料为依据,测算确定高收入户样本结构权重和人均收入水平的调整系数和调整模式,对高收入户群体进行平滑校准。
第三步:按照全国城乡人口比例,调整合并城乡住户调查数据。先调整农民工归类,形成包括农民工在内的城镇人口总体。将年内外出务工半年以上的农民工,从现行的农村人口调整为城镇常住人口,保持与人口统计分类的一致性。再按历年城乡人口比重对城乡住户调查分户数据进行加权合并。
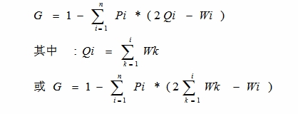
第四步:计算全国居民收入基尼系数。在城乡合并样本数据的基础上,依据基尼系数计算公式,利用SAS软件计算出了全体居民的可支配收入基尼系数。所有数据未进行城乡、地区或时序的价格差异调整。具体计算公式如下:

Wi和Pi 是指将调查户按收入由低到高进行排序,计算第i户代表的人口的收入占总收入比重(Wi)和第i户所代表的人口占总人口比重(Pi)。
总之,国家统计局本次测算2003年-2012年全体居民收入基尼系数,主要基于样本充足、调查扎实的城乡住户调查详细分户资料,并尽可能消除了城乡居民收入指标口径不一致和高收入户样本偏差对基尼系数的影响,测算得到的基尼系数具有国际可比性,也反映了我国居民收入差距的变化趋势。但与很多国家政府统计面临的问题一样,由于缺少确切信息,很难校准税外收入的偏差。根据老样本和老口径数据进行调整得到的结果,也可能会与新样本和新数据得到的结果有一些差异。未来,国家统计局将根据新的一体化住户调查数据,在进一步广泛收集校准背景资料及深入研究样本校准方法的基础上,及时发布基尼系数和相关方法,也有可能对基尼系数的历史数据进行进一步的校准修订。
附件:
基尼系数测算方法示例
基尼系数如何计算?基尼系数与收入的相对差距还是绝对差距有关?为什么有人对收入差距的感觉与基尼系数不一致?本文用一个假定的三人世界进行计算和说明。
为简便起见,假如世界只有三个人。第一人A,是低收入者,第二人B,是中等收入者,第三人C,是高收入者。在测算前,需要将A、B、C三人按从低到高排好序。先列出人数和每人的收入,再计算累计的人数和累计的收入,然后再计算累计人口比重和累计收入比重,最后计算基尼系数(详见附表)。
情况1:
A、B、C收入各37万,属于收入绝对平均,收入分布如图中绿线所示,基尼系数为0。
基尼系数:
=(三角形OCC’面积-三角形OAA’面积-梯型AA’BB’-梯型BB’CC’面积)/三角形OCC’面积
=(1*1/2-0.3333*0.3333/2-(0.3333+0.6667)/2*(0.6667-0.3333)-( 0.6667+1)/2*(1-0.6667))/(1*1/2)=0
情况2:
A收入为1万,B收入10万,C收入100万。收入分布如图中蓝线所示,由此计算的基尼数是0.5946。现实社会中,中、低收入人群比例要高许多,本例为方便计算,假定高、中、低各占1/3,计算结果不等同实际情况。
基尼系数=(三角形OCC’面积-三角形OAA”面积-梯型AA”BB”-梯型BB”CC’面积)/三角形OCC’面积
=(1*1/2-0.0090*0.3333/2-(0.0090+0.0991)/2*(0.6667-0.3333)-(0.0991+1)/2*(1-0.6667))/(1*1/2)=0.5946
情况3:
A收入为2万,B收入20万,C收入200万。与情况2相比,大家收入都翻一番,但相对差距不变。各人在收入中的份额没有改变,因此,基尼系数不变,还是0.5946。此时,有的中低收入者因为收入增加额没有高收入者的增加额大,感觉到收入差距在扩大。
情况4:
A收入为3万,B收入15万,C收入150万。与情况2相比,大家都有改善、低收入者增速较快,基尼系数下降到0.5833。在此情况下,高收入者的收入增加额还是比中低收入者的大。
情况5:
A收入为3万,B收入9万,C收入120万。与情况2相比,
低收入者收入增长较快,中等收入者收入下降,基尼系数下降到0.5909。在此情况下,中等收入者与高收入者的收入相对差距和绝对差距都扩大。此时,基尼系数的下降与中等收入者对于收入差距的感觉是很不一样的。在此,基尼系数也不能解释差距变化的原因。
附表 三人世界的居民收入与基尼系数变化示意表
|
人口数(人) |
收入(万元) |
|||||
|
情况1 |
情况2 |
情况3 |
情况4 |
情况5 |
||
|
第一人 |
1 |
37 |
1 |
2 |
3 |
3 |
|
第二人 |
1 |
37 |
10 |
20 |
15 |
9 |
|
第三人 |
1 |
37 |
100 |
200 |
150 |
120 |
|
人口累计(人) |
收入累计(万元) |
|||||
|
情况1 |
情况2 |
情况3 |
情况4 |
情况5 |
||
|
第一人 |
1 |
37 |
1 |
2 |
3 |
3 |
|
第二人 |
2 |
74 |
11 |
22 |
18 |
12 |
|
第三人 |
3 |
111 |
111 |
222 |
168 |
132 |
|
人口累计比重 |
收入累计比重 |
|||||
|
情况1 |
情况2 |
情况3 |
情况4 |
情况5 |
||
|
第一人 |
0.3333 |
0.3333 |
0.0090 |
0.0090 |
0.0179 |
0.0227 |
|
第二人 |
0.6667 |
0.6667 |
0.0991 |
0.0991 |
0.1071 |
0.0909 |
|
第三人 |
1 |
1 |
1 |
1 |
1 |
1 |
|
模拟基尼系数 |
||||||
|
合计 |
情况1 |
情况2 |
情况3 |
情况4 |
情况5 |
|
|
0.0000 |
0.5946 |
0.5946 |
0.5833 |
0.5909 |
||

中证网声明:凡本网注明“来源:中国证券报·中证网”的所有作品,版权均属于中国证券报、中证网。中国证券报·中证网与作品作者联合声明,任何组织未经中国证券报、中证网以及作者书面授权不得转载、摘编或利用其它方式使用上述作品。凡本网注明来源非中国证券报·中证网的作品,均转载自其它媒体,转载目的在于更好服务读者、传递信息之需,并不代表本网赞同其观点,本网亦不对其真实性负责,持异议者应与原出处单位主张权利。
特别链接:中国证券监督管理委员会上海证券交易所深圳证券交易所新华网政府部门交易机构证券期货四所两司新闻发布平台友情链接版权声明
关于报社关于本站广告发布免责条款
中国证券报社版权所有,未经书面授权不得复制或建立镜像 经营许可证编号:京B2-20180749 京公网安备110102000060-1
Copyright 2001-2018 China Securities Journal. All Rights Reserved
中国证券报社版权所有,未经书面授权不得复制或建立镜像
经营许可证编号:京B2-20180749 京公网安备110102000060-1
Copyright 2001-2018 China Securities Journal. All Rights Reserved


![S1FD8IYHLG]H}Y4)E()T0H9.png](../../../ssgs/zt2017/201807/W020180712352492550202.png)
